The human cardiovascular and skeletal muscle systems have evolved to meet the challenges of upright posture in the Earth’s gravitational environment. During spaceflight, astronauts experience altered gravity environments that lead to physiological decrements in aerobic capacity, muscle strength, bone strength, vision changes, and altered vascular motility, which can lead to a decrease in crew performance. Exercise is prescribed to astronauts as a countermeasure to altered gravity and is vital to maintaining optimal crew health and performance. It addresses these decrements and is also used as a countermeasure for orthostatic intolerance and immune and sensorimotor functioning.
The extent of physiological deconditioning varies per individual and is dependent on a multitude of factors such as starting fitness level, age, mission duration, and gravity level. Without intervention, acute deconditioning begins immediately upon exposure to an altered gravity environment and is measurable within a few days. As mission duration increases, the decrements will continue to increase without intervention. NASA has generated standards/thresholds to protect health outcomes and enable performance for mission tasks.
Relevant NASA-STD-3001 Technical Requirements
Volume One
- [V1 3017] Post-Mission Reconditioning
- [V1 4001] Microgravity EVA Aerobic Capacity
- [V1 4002] Extraterrestrial Surface EVA Aerobic Capacity
- [V1 4003] In-Mission Aerobic Capacity
- [V1 4004] Post-Mission Aerobic Capacity
- [V1 4023] Pre-Mission Muscle Strength and Function
- [V1 4024] In-Mission Skeletal Muscle Strength
Volume Two
- [V2 7038] Physiological Countermeasures Capability
- [V2 7040] Physiological Countermeasure Operations
- [V2 7043] Medical Capability
- [V2 8001] Volume Allocation
Learn more below on Episode 229, of Houston, We Have a Podcast, where actor Tom Cruise asks NASA astronaut Victor Glover about what happens to the human body during a long-duration spaceflight. This discussion was recorded in November 2021.
Houston We Have a Podcast
From Earth orbit to the Moon and Mars, explore the world of human spaceflight with NASA each week on the official podcast of the Johnson Space Center in Houston, Texas. Listen to in-depth conversations with the astronauts, scientists and engineers who make it possible.
View SeriesBackground
Health Technical Requirements
These health technical requirements from the NASA Space Flight Human-Systems Standards were chosen based on the ability to mitigate short and long-term health and performance effects, and the ability for crewmembers to return to preflight values for aerobic capacity and muscle strength during the rehabilitation period within 45 days postflight. For bone mineral density (BMD), NASA crewmembers are initially selected with normal bone mineral density and for many crewmembers, it requires a year to recover back to preflight values. If crew are selected with lower BMD, long term consequences need to be considered.
From NASA-STD-3001 Volume 1, Rev C
- In-Mission Aerobic Capacity [V1 4003] The in-mission aerobic capacity shall be maintained, either through countermeasures or work performance, at or above 80% of the pre-mission capacity determined by either direct or indirect measures
- In-Mission Skeletal Muscle Strength [V1 4024] Countermeasures shall maintain in-mission skeletal muscle strength at or above 80% of baseline values.
- In-Mission Bone Countermeasures [V1 4027] Countermeasures shall maintain bone mineral density (BMD) of the hip and spine at or above 95% of pre-mission values and at or above 90% for the femoral neck.
- Post-Mission Reconditioning [V1 3017] All programs shall provide the planning, coordination, and resources for an individualized post-mission reconditioning program, specific to each crewmember, mission type, and mission duration. The post-mission reconditioning starts with crew egress at landing and includes a guided, phased reconditioning protocol. The goals of the reconditioning program include the following:
- To ensure the health and safety of returning crew.
- To actively assist the crew’s return to full functional abilities and return-to-flight status.
- To actively assist in the crew’s return to pre-mission fitness
Fitness for Duty/Performance Requirements
The following health technical requirements from the NASA Space Flight Human-Systems Standards were generated based on past EVA experience for NASA astronauts and research data for muscle strength. These requirements are not absolute thresholds, crewmembers may fall below these levels and potentially require more time and resources to accomplish mission tasks. Each operational activity should factor in crewmember fitness and be planned accordingly.
From NASA-STD-3001 Volume 1, Rev C
- Microgravity EVA Aerobic Capacity [V1 4001] Crewmembers shall maintain an in-mission VO2max at or above 32.9 ml⁄(min/kg) for missions with microgravity EVAs as determined by either direct or indirect measures.
- Extraterrestrial Surface EVA Aerobic Capacity [V1 4002] Crewmembers shall maintain an in-mission VO2max at or above 36.5 ml⁄(min/kg ) for missions with extraterrestrial surface EVAs as determined by either direct or indirect measures.
- Pre-Mission Muscle Strength and Function [V1 4023] Pre-mission muscle strength and function shall be per the values in Table 4.6-1—Pre-Mission Muscle Strength Technical Requirements.
| Minimum | Microgravity EVAs | Celestial Surface EVAs | Unaided Egress | |
|---|---|---|---|---|
| Deadlift | 1.0 x Body Weight | 1.3 x Body Weight | 1.6 x Body Weight | 1.3 x Body Weight |
| Bench Press | 0.7 x Body Weight | 0.8 x Body Weight | 1.0 x Body Weight | 0.7 x Body Weight |
Table 4.6-1 Pre-Mission Muscle Strength Technical Requirements
Aerobic Capacity – VO2max
VO2max measures the maximum rate a body can absorb and use oxygen. During exercise, cells take oxygen (O2) and create energy which fuels exercise and allows performance of activities. The higher the VO2max, the greater the ability to complete activities. VO2max is most accurately tested using a gas analyzer (see right) that measures the volume of O2 inhaled and exhaled, as the intensity of the exercise increases until the O2 consumption levels off indicating a max capacity for using O2 to fuel the work being performed, beyond which the body will have to rely on anaerobic metabolism. Aerobic exercise helps to maintain VO2max levels.
Factors that affect delivery of O2 to the active muscles include heart rate (HR), stroke volume (SV, the volume of blood expelled from the heart with each beat), cardiac output (Qc, product of HR and SV), and extraction of O2 from the arterial blood vessels by the muscles (measured as arteriovenous O2, A-V O2, difference). The relationship between VO2, Qc, and A-V O2 difference is quantified by the Fick equation (Rowell 1986).
VO2 = Qc × A-V O2 difference
Note: To Convert l/min to ml⁄(min/kg), use (l/min x 1000 ml/min)/body weight in kg. For example, (1.17 x 1000ml/min)/80 kg = 14.63
Astronaut aerobic characteristics and in-mission VO2 activity data
- All crewmember height range: 146.6 cm to 194.6 cm (58.5 inches to 76.6 inches)
- All crewmember weight mean: 72.4kg/170 lbs std deviation 8kg/17.7 lbs Range, 95th percentile 90.6 kg/199 lbs
Lunar Surface/Apollo VO2 Data (1/6th g)
- Apollo Lunar Surface Experiments Package (ALSEP)
- Geology (utilizing tools for collecting geological samples)
- Overhead activities (ingressing and egressing the vehicle)
- Rover (driving and maneuvering extraterrestrial surface vehicle)
| VO2 | ALSEP Deployment | Geology | Overhead | Rover |
|---|---|---|---|---|
| VO2 (L/min) | ||||
| Avg | 0.81 | 0.81 | 0.90 | 0.41 |
| Max | 1.01 | 1.17 | 1.01 | 0.58 |
| VO2 (ml/kg/min) for 80 kg crewmember | ||||
| Avg | 10.17 | 10.17 | 11.25 | 5.13 |
| Max | 12.58 | 14.63 | 12.63 | 7.21 |
Biomedical Results of Apollo
The biomedical program developed for Apollo is described in detail. The findings are listed of those investigations which are conducted to assess the effects of space flight on man's physiological and functional capacities, and significant medical events in Apollo are documented. Topics discussed include crew health and inflight monitoring, preflight and post-flight medical testing, inflight experiments, quarantine, and life support systems.
Learn More
Bedrest Studies
Research utilizing head-down bedrest (HDBR) methods have been implemented extensively to gather physiological data that can be translated to spaceflight practices. These methods are the closest terrestrially based research strategies that simulate the physiological changes the human body endures from the elimination of gravity during spaceflight, including fluid shifts to the head and upper torso, BMD loss, changes to the musculoskeletal system, cardiovascular changes, and sensorimotor degradation*. Subjects are placed on bedrest with specific degree of head-down tilt for short to long durations during which time countermeasures including exercise protocols are used to mitigate bone loss, strength, and aerobic changes.
*(Belavy et al., 2010; Cromwell et al., 2019; Hargens et al., 2006; Pavy-Le Traon et al., 2007; Schneider et al., 2009; Stuempfle & Drury, 2007)
NASA uses exercise during bedrest as an analog to see how well humans benefit from and/or tolerate exercise during microgravity/spaceflight.
- Short duration bedrest without exercise may show comparable decrements to spaceflight and provides insight into possible magnitude of decrements due to microgravity exposure.
- Significant changes in knee extension strength and aerobic capacity occur early.
- Short duration bedrest without exercise may show comparable decrements to spaceflight.
Integrated Resistance and Aerobic Exercise Protects Fitness During 14-day Bed Rest (Ploutz-Snyder et al., 2014)
- Evaluated the effectiveness of exercise using ISS-like hardware during short duration bedrest to maintain cardiovascular and muscular fitness during 14 days of bedrest.
- Nine subjects participated in 14-21 days of pre-bedrest training, 14 days of bedrest + exercise, and 7 days of ambulatory recovery.
- Aerobic-VO2peak, ventilatory threshold (VT), and isokinetic/leg press tests performed before/after bedrest to evaluate cardiorespiratory and muscular functions.
- Subjects exercised 6 days/week, 3 days of resistance and 6 days aerobic.
- Used vertical treadmill, supine cycle ergometer, and horizontal exercise fixture.
- High-intensity interval and continuous aerobic exercise were performed on alternating days.
- Training based on review of effective training programs for skeletal, muscle, bone, and cardiovascular health.
- Exercise alone in this spaceflight analog can preserve cardiorespiratory and muscular fitness for a 14-day period.
- This test was followed by a 70-day bedrest study with similar conditions.
Bedrest effects of exercise on aerobic capacity
| VO2peak (L∙min-1) | VCO2peak (L∙min-1) | VOE (L∙min-1) | Test Time (min) | Peak Workload (W) | VT (L∙min-1) | |
|---|---|---|---|---|---|---|
| Screening | 2.8 ± 0.27 | 3.5 ± 0.26 | 112.4 ± 5.28 | 11.1 ± 0.80 | 232 ± 19 | 1.9 ± 0.19 |
| BR-14 | 3.0 ± 0.26* | 3.5 ± 0.23 | 114.9 ± 5.92 | 11.1 ± 0.79 | 246 ±19 | 1.9 ± 0.15 |
| BR+0 | 3.2 ± 0.21 * | 3.7 ± 0.22 | 119.2 ± 6.17 | 11.6 ± 0.69 | 257 ± 17* | ND |
| BR+5 | 3.2 ± 0.19* | 3.8 ± 0.21* | 124.9 ± 6.74* | 12.1 ± 06.1**,*** | 268 ± 16*,** | 2.1 ± 0.19*,** |
*Different from screening, P G 0.05
**Different from BR j 14, P G 0.05
***Different from BR + 0, P G 0.05
Bedrest effects of exercise on muscle size
| Volume (cm3) | Thigh (BR1) | Thigh (BR14) | Calf (BR1) | Calf (BR14) | Total (BR1) | Total (BR14) |
|---|---|---|---|---|---|---|
| SAT, n=8 | 425 ± 322 | 447 ± 309 | 117 ± 121 | 121 ± 92 | 542 ± 405 | 568 ± 387 |
| IMAT, n=8 | 117 ± 29 | 117 ± 28 | 90 ± 50 | 84 ± 44 | 207 ± 75 | 201 ± 66 |
| Muscle | 1757 ± 222 | 1771 ± 240 | 622 ± 195 | 628 ± 202 | 2379 ± 318 | 2399 ± 336 |
This study demonstrates the potential benefit of high-load resistance exercise coupled with high-intensity interval training using conventional equipment in a spaceflight analog. Results included increased or maintained aerobic and muscle performance immediately after bed rest. Previous bed rest study showed 14% decline after 10-day bed rest (no exercise).

Exercise Training Mitigates Multisystem Deconditioning During Bed Rest (Ploutz-Snyder et al., 2014)
This study evaluated safety and effectiveness of aerobic and resistance exercise using ISS-like exercise capability in the spaceflight analog of bedrest. 34 subjects completed 70 days of 6-degree head down tilt. The exercise countermeasures consisted of high-intensity interval and continuous aerobic training combined with resistive strength training 6 days per week. High-intensity interval aerobic exercise was completed every other day alternating with continuous aerobic exercise performed along with resistance exercise separated by 4–6 hours.
| CONT (BR-5) | CONT (BR+0) | EX (BR-5) | EX (BR+0) | ExT (BR-5) | ExT (BR+0) | FLY (BR-5) | FLY (BR+0) | |
|---|---|---|---|---|---|---|---|---|
| VO2peak,L∙min-1 | 2.9 ± 0.6 | 2.2 ± 0.4 | 3.2 ± 0.6 | 3.2 ± 0.6# | 3.2 ± 0.5 | 3.1 ± 0.4# | 3.2 ± 0.7 | 3.0 ± 0.6# |
| VT, L∙min-1 | 2.0 ± 0.4 | 1.5 ± 0.3 | 2.0 ± 0.3 | 2.0 ± 0.4# | 2.1 ± 0.4 | 2.0 ± 0.4# | 2.0 ± 0.5 | 2.0 ± 0.5# |
| Peak workload, W | 242 ± 53 | 181 ± 42 | 181 ± 42 | 265 ± 53# | 267 ± 28 | 264 ± 25# | 272 ± 53 | 264 ± 32# |
| Peak HR, bpm | 189 ± 7 | 188 ± 10 | 188 ± 10 | 176 ± 10 | 178 ± 14 | 178 ± 9 | 182 ± 5 | 186 ± 8 |
- The exercise protocol mitigated bed rest induced muscle and cardiac deconditioning regardless of exercise device used.
- Peak aerobic capacity was maintained from pre to post bed rest in all exercise groups compared to a 10% decline in controlled group.
- FLY training was effective in mitigating multisystem deconditioning relative to the exercise performed on traditional (e.g., resistance machines, treadmill, cycle ergometer) exercise equipment.
Extended Duration Orbiter Medical Project
Since the 1940s, biomedical challenges have accompanied advancements in high-speed, high-altitude flight. With the start of Project Mercury in 1958, NASA began collecting medical data from manned space missions, which expanded through Gemini, Apollo, and Skylab. This foundation supported the Extended Duration Orbiter Medical Project (EDOMP), which generated significant biomedical data and developed hardware to support astronaut health and data collection during extended missions. EDOMP findings have been crucial for long-duration Space Shuttle flights, missions aboard the Russian space station Mir, and preparations for the International Space Station. All data were anonymized and archived in NASA’s Life Sciences Data Archive.
Learn More
Functional Performance Evaluation (Greenisen et al.)
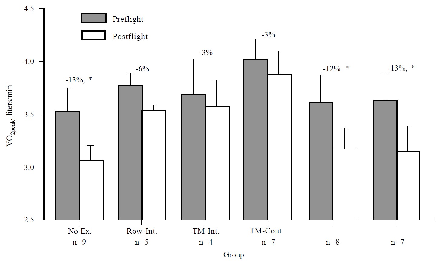
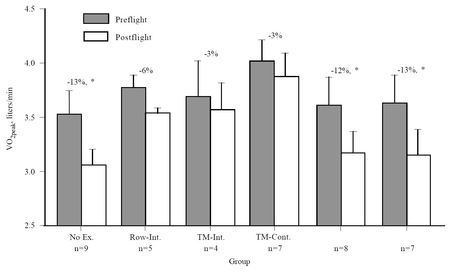
Studies were performed on the Space Shuttle to evaluate the usefulness of sub-maximal aerobic exercise during flight in reducing the severity of postflight deconditioning. One of the studies (below) tested effects of exercise using different modalities including treadmill, rower, and cycle on aerobic deconditioning compared to no exercise.
EDOMP Table 3-4. Flight duration and “exercise volume” (%HRmax × min/week) for DSOs 476 and 608 (mean ± S.D.). (Page 68)
| Exercise Modality | Flight Duration, days | “Exercise Vol” Before Flight | “Exercise Vol” During Flight | “Exercise Vol” During/Before |
|---|---|---|---|---|
| No exercise (10) | 8.7 ± 1.9 | NA | NA | NA |
| Cycle (16) | 12.1* ± 3.2 | 20,737 ± 19,429 | 20,127 ± 20,206 | 97 |
| Rower or treadmill (9) | 7 ± 1.7 | 17,799 ± 8,097 | 12,665 ± 6,668 | 71 |
| Treadmill, continuous (7) | 8.6 ± 1.1 | 15,858 ± 6,993 | 16,893 ± 6,848 | 107 |
Subjects are categorized by type of exercise device used and protocol performed during flight: No Ex = nonexercisers; Row = rower; TM = treadmill; Cycle = cycle/ergometer; Int = interval; Cont = continuous; Hi Int = high intensity
Figure 3-9. Preflight-to-postflight changes in VO2peak for 40 participants in DSOs 476 and 608. (Page 68)
Study evaluated effect of exercise duration and intensity on 25 subjects.
Group 1 (n=11): Exercised>3x/week. HR > 70% age predicted, >20 min/session (“regular” exercise group)
Group 2 (n=10): Exercised>3x/week. HR > 70% age predicted, >20 min/session (“low intensity” exercise group)
Group 3 (n=14): Exercised>3x/week. HR and min/session variable (“minimal” exercise group)
EVA Only (n=4): Subjects performed EVAs. Minimal other exercise performed during flight (Hubble mission)
Results
Subjects who exercised three or more times per week during flight, at a HR >70% of their age-predicted maximum HR and for more than 20 minutes per session, experienced smaller decrements in VO2 at test termination on landing day than subjects who exercised less frequently or at lower intensities.
ISS Preflight Training Exercise Prescription – 180 Days
- Prepare for flight
- Muscle Conditioning (strength, endurance, flexibility, power, coordination, and stamina)
- Aerobic Fitness
- Preflight training begins approximately 2 years before a scheduled launch
- Familiarize astronauts with inflight exercise and hardware operation
- Teach proper safety and technique
Example preflight periodization workout
| Cycle/Phase | Sets | Reps |
|---|---|---|
| Preparation/Hypertrophy | 3-4 | 10-12 |
| Strength | 3-4 | 8-10 |
| Strength & Power | 4 | 4-6 |
| Peaking Power | 4 | 1-3 |
| Stamina | 3-4 | 15+ |
Inflight Training Exercise Prescription (Long-Duration Missions ~180 days/ISS)
Maintain crew health and fitness
- Protect functionality and capability
- Minimize losses: Strength, endurance, flexibility, power, coordination, stamina, aerobic fitness, and bone
- Injury Prevention
Inflight Training Time Prescriptions
Metabolic:
Approximately 30 minutes of interval or steady-state exercise
Resistive/Strength:
30-60 minutes load-bearing training
Aerobic Exercise in Space – ISS Long Duration ~ 180 Days
Aerobic training on ISS consists of interval or continuous steady state exercise on either Cycle Ergometer with
Vibration Isolation and Stabilization System (CEVIS) or second-generation treadmill (T2). CEVIS protocols were
developed using the pre-flight VO2peak test with prescribed work rates between 70-100% VO2peak. T2 protocols were based on pre-flight training and prescribed at 70–100% HRmax. The following data was obtained during ISS
increments 26S-50S (April 2011 – September 2017). Forty-six astronauts (37 males, 9 females; age: 46.8 ± 6.1 years, height: 176 ± 7.1 cm, weight: 79.2 ± 9.9 kg [mean ± SD]) were assigned to missions of 178 ± 48 d. Ten (22%)
astronauts had previously completed long-duration ISS missions. The following data is based on “Effects of exercise countermeasures on multisystem function in long duration spaceflight astronauts”, Scott, J. et al. (2023).
**The % maximum HR parameter was calculated as the average HR of the individual exercise sessions for that crew member, divided by the crew member’s HRmax (determined preflight as part of Peak Aerobic performance testing), then multiplied by 100%.
Aerobic Exercise in Space ISS Long Duration ~ 180 Days Physiological Outcomes
Effects of exercise countermeasures on multisystem function in long duration spaceflight astronauts (Scott et al.,
2023). Evaluation of the effects of ISS exercise countermeasures on multisystem function using latest exercise (T2,ARED, CEVIS) devices and exercise prescription processes with average 600 min/week/crewmember; and estimated the proportion of astronauts that would experience performance-limiting deconditioning including cardiorespiratory (aerobic), bone, and body composition. Testing was performed on NASA and international astronauts from April 2011-Sept 2017: 46 missions min. of 178 days, all meeting standard physiologic tests prior to flight
Crew data from 2012-2022 found that 12-21% of crewmembers fall below the -20% requirement during in-flight time points. 20% or greater aerobic reduction is associated with significant performance decrements in ground based analog study that evaluated simulated EVA and egress task performance.
Inflight Aerobic and Resistance Exercise Training
| Aerobic Exercise | ||
| CEVIS | T2 | |
| Sessions, number | 65 (47, 76) | 84 (59, 109) |
| aExercise time/session, mins | 26 (23, 29) | 27 (23, 29) |
| Heart Rate, beats/min | ||
| Average | 135 (128, 141) | 131 (121, 137) |
| Peak | 158 (150, 163) | 153 (144, 162) |
| % time in heart rate zone | ||
| Above 70% peak heart rate | 76 (65, 92) | 69 (54, 81) |
| Above 90% peak heart rate | 13 (6, 27) | 11 (4, 24) |
| Speed, rpm (CEVIS) or mph (T2) | ||
| All | 137 (123, 153) | 117 (107, 127) |
| Peak | 191 (173, 223) | N/A |
| Repetitions, number | N/A | N/A |
| Load volume | 5013 (3864, 5763) | 2909 (2531, 03279) |
Estimated in-mission aerobic capacity declines and required in-mission aerobic capacity levels should be
considered when setting the pre-mission aerobic capacity requirement. See table below from [V1 4001] Microgravity EVA Aerobic Capacity from NASA-STD-3001 Vol 1, Rev C for an example.
Table 4.1-1 Pre-mission VO2max Recommendations and Required Minimum In-Mission VO2max
| Example Destination | In-Mission VO2max | Pre-Mission VO2max Recommendation (assuming an in-mission 15% decline) | Pre-Mission VO2max Recommendation (assuming an in-mission 25% decline) |
|---|---|---|---|
| ISS | 32.9 ml/ min/kg | 38.7 ml/ min/kg | 43.8 ml/ min/kg |
Post Mission Reconditioning
Crewmembers participate in a reconditioning program post-landing. After 30 days, crewmembers regain their preflight baseline VO2peak values.
| Endpoint | Change pre-flight to R+1 | Change pre-flight to R+7 | Change pre-flight to R-30 |
|---|---|---|---|
| Total mass | -0.13 (-1.40, 0.86) | ||
| Fat mass | -0.34 (-6.06, 1.34) | ||
| Lean mass | 0.26 (-0.59, 1.55) | ||
| VO2peak | -1.53 (-11.21, -3.55) | -1.15 (-8.42, -2.66) | 0.13 (-2.35, 3.58) |
| Ventilation | -0.48 (-10.15, 1.72) | -0.08 (-5.73, 4.25) | -0.33 (-8.10, 2.35) |
| Ventilatory threshold | 0.20 (-4.57, 7.66) | -0.08 (-6.28, 5.14) | 0.09 (-6.46, 7.81) |
Muscle Strength & Resistive Exercise
Exposure to weightlessness can cause muscle deconditioning as a result of chronic disuse, insufficient
functional loads, reduced muscle mass, volume, and performance. Crewmember muscle strength is
important for the completion of necessary tasks including in-flight activities, EVAs, successful egress of the
vehicle, and assisting an incapacitated crewmember. Wearing a spacesuit adds additional strength
demands. Exercise is one of the most important countermeasures used to minimize loss of strength. Goals
for in-flight training include maintaining crew health and fitness and protecting functionality and EVA
capability while minimizing losses of strength, endurance, flexibility, power, aerobic fitness, and injury
protection.
Muscle strength is measured as torque and endurance Torque is the force that drives biomechanical movement.
Total work is a measure of muscle endurance. Concentric contractions – muscles shorten and generate force. Eccentric contractions – muscles lengthen in response to force. Isometric contractions – generate force without changing shape. Isokinetic testing measures strength at concentric, eccentric, and isometric modes. Isokinetic testing provides a baseline of muscle strength and endurance in select muscle groups. Crewmembers have an isokinetic assessment before and after flight per NASA AMMERD 6.1 Measurements can be used for evaluation of in-flight countermeasures and post-flight rehabilitation.
Pre-flight muscle evaluation leg press tests maximal isometric force and power/endurance. Knee extension tests force control and neuromuscular drive.
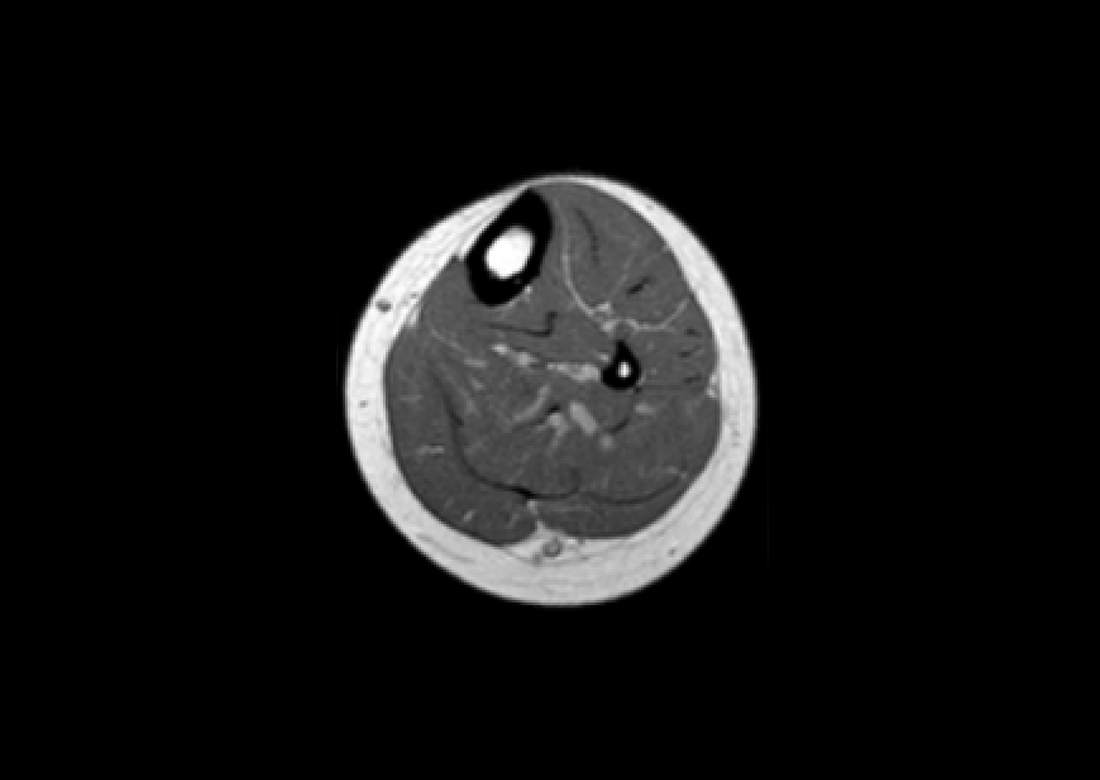
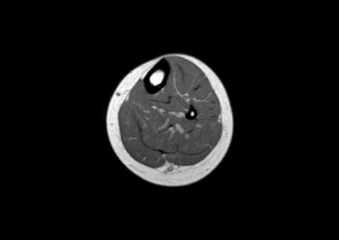
MRI: Muscles can be evaluated by MRI which shows reductions in muscle size. Loss of muscle can be directly related to movement control – Less mass available/less tension produced when muscles are maximally activated and lower functional performance
Muscle size can be monitored for atrophy inflight using a guided ultrasound device
NASA Astronaut Strength, Conditioning, and Rehabilitation Specialists (ACERS) monitor crew fitness inflight and develop exercise prescriptions based on crew ability and performance. Crew data is monitored from the ground, including physiologic markers and crew performance such as time and intensity of exercise preformed. Strength exercise prescriptions depend on equipment available
Integrated resistance and aerobic exercise protects fitness during 70-days bed rest
This study evaluated safety and effectiveness of aerobic and resistance exercise using ISS-like exercise
capability in the spaceflight analog of bed rest. 34 subjects completed 70 days of 6-degree head down tilt.
The exercise countermeasure consisted of high-intensity interval and continuous aerobic training combined
with resistive strength training 6 d∙wk−1. High-intensity interval aerobic exercise was completed every other
day alternating with continuous aerobic exercise performed along with resistance exercise separated by 4–
6 h.
Muscle size is significantly maintained by exercise.
| Study Length | Variable | Control (n=9) | Flywheel (n=8) | |
|---|---|---|---|---|
| Isokinetic Knee Extension (60°; Nm) | -23% | -13% | ||
| Leg Press Max Isometric Force (N) | -16% | -7% | ||
| Ploutz-Snyder 2018 | 70 | Leg Press Max Power (W) | -21% | -8% |
| Isokinetic Plantar Flexion (30°; Nm) | -29% | -4% | ||
| VO2peak (L/min) | -24% | -6% |
| CONT | EX | ExT | FLY | |||||
|---|---|---|---|---|---|---|---|---|
| BR – 5 | BR + 0 | BR – 5 | BR + 0 | BR – 5 | BR + 0 | BR – 5 | BR + 0 | |
| Quadriceps, cm2 | 75.3 ± 17.7 | 68.1 ± 15.9 | 78.7 ± 10.7 | 81.1 ± 12.1* | 71.6 ± 11.6 | 75.0 ± 12.6* | 86.4 ± 16.0 | 84.6 ± 18.4*,** |
| Hamstrings, cm2 | 35.6 ± 7.2 | 31.6 ± 8.2 | 32.5 ± 4.3 | 32.8 ± 5.4* | 32.3 ± 4.9 | 32.8 ± 5.0 | 38.0 ± 9.4 | 35.9 ± 7.9 |
Significant benefits shown from all exercise groups compared to non-exercise (cont) group. All exercise groups were observed for leg press total work, isokinetic upper and lower leg strength, and vertical jump power and maximal jump height.
BR-5 is measured 5 days before flight, BR+0 measured day bedrest is complete.
| CONT | EX | ExT | FLY | |||||
|---|---|---|---|---|---|---|---|---|
| BR – 5 | BR + 0 | BR – 5 | BR + 0 | BR – 5 | BR + 0 | BR – 5 | BR + 0 | |
| Leg press MIF, N | 1975 ± 578 | 1657 ± 728 | 2070 ± 406 | 1965 ± 533 | 1857 ± 300 | 1768 ± 258 | 2367 ± 633 | 2196 ± 587 |
| Leg press total work, J | 8616 ± 1942 | 6714 ± 1241 | 8644 ± 2377 | 8162 ± 2450* | 8571 ± 1744 | 8137 ± 1744* | 10130 ± 2351 | 9409 ± 2228* |
| Leg press max power, W | 1836 ± 439 | 1445 ± 342 | 1943 ± 436 | 1830 ± 581* | 1791 ± 249 | 1724 ± 316* | 2377 ± 721 | 2194 ± 609 |
| Isokinetic KE 60 | 191.4 ± 45.0 | 147.7 ± 42.0 | 201.0 ± 59.6 | 184.9 ± 64.2* | 206.1 ± 32.3 | 197.7 ± 26.8* | 212.7 ± 36.6 | 185.0 ± 32.5** |
| Isokinetic PF 30 | 126.3 ± 32.0 | 89.3 ± 16.5 | 129.5 ± 39.4 | 116.3 ± 31.0 | 136.6 ± 20.5 | 118.9 ± 22.3 | 109.6 ± 19.0 | 104.8 ± 23.6* |
| Vertical jump max height,cm | 42.5 ± 7.0 | 32 ± 5.8 | 43.6 ± 5.4 | 41.4 ± 5.5* | 44.3 ± 8.2 | 39.3 ± 6.8 | 45.5 ± 4.2 | 44 ± 5.2* |
| Vertical jumo max power, W·kg-1 | 44.6 ± 5.8 | 36.5 ± 4 | 45.5 ± 5.8 | 43.8 ± 6.7* | 46.0 ± 6.9 | 44.1 ± 8* | 50.3 ± 6.2 | 49.5 ± 6.8* |
Extended Duration Orbiter Medical Project Functional Performance Evaluation Greenisen et al. (1999) Short-Duration
Studies were performed on Shuttle crewmembers to evaluate the usefulness of submaximal skeletal muscle and endurance exercise during flight to optimize crew ability to complete mission tasks including those essential to entry, landing, and crew egress. One study evaluated functional changes in peak torque and muscle endurance before/after flight, one defined the morphologic and biochemical effects of spaceflight on skeletal muscle fibers, a third used MRI to test for leg muscle atrophy
Study 477 and 617
Evaluated functional changes in concentric/eccentric strength (peak torque) and endurance (workload) of the trunk, upper, and lower limbs.
- Shuttle missions 5-13 days, pre-training began L-30
- Exercisers had protocols of continuous and interval training, treadmill prescriptions 60-85% of pre-flight VO2max
Results
- Torque decreased in back and abdomen, quadriceps 15% hamstrings 12%
- Total work decreased in quadriceps at R+0, small difference in endurance at R+7
- Exercisers had greater maintenance of leg strength (left) Both exercisers and non-exercisers lost strength in abdomen and trunk suggesting that treadmill exercise may best preserve
muscle integrity to muscles exercised.
Study 475
defined the morphologic and biochemical effects of spaceflight on skeletal muscle fibers.
- Biopsies taken 21 days before flight and on landing day
- 8 crew 3–5 day mission and 5–11 day missions
- Tested Type 1 slow-twitch fibers (endurance activities), and type 2- fast twitch (quick powerful movements)
Results
- Cross section area (CSA) showed 15% loss of type 1 fibers and 22% decrease of type 2 fibers after flight
Study 606
quantified changes in size, water, lipid composition, and leg muscles after spaceflight.
- 8 crew 5-7 days and 3-9 days
- Tested MRI of leg L-30, L-16,R+2, R+7
- MRI scan of leg (soleus and gastrocnemius muscles)
- CSA evaluated to assess muscle atrophy
Results
- 5.8% lost in the soleus, 4.0% lost in the gastrocnemius, 4.3% total
- Loss represents atrophy (loss of muscle mass)
Resistive/Strength Exercise in Space – ISS Long Duration ~180 Days
For resistance exercise, total volume was calculated for each subject for the categories of squat, heel raise, and deadlift exercises utilizing the ARED (600lb. total resistance), then normalized to mission duration (total volume/mission duration in days). Warmup exercises were not included in the data set. The 3 exercise categories included the following variations: “squat”: back squat, single leg squat, sumo squat; “heel raise”: heel raise and single leg heel raise; “deadlift”: deadlift, Romanian deadlift, and sumo deadlift, and bench press. For each exercise category, total volume was calculated for each subject by summing the volume (load x reps) across the entire mission. In addition, average load (kg), average relative load (kg·kg bodyweight-1), average repetitions per session, and average repetitions per week were calculated for each subject for the 3 exercise categories. The following data is based on the “Effects of exercise countermeasures on multisystem function in long duration spaceflight astronauts”, Scott, J. et al. (2023).
*All Crewmember Height range: 146.6 cm to 194.6 cm (58.5 inches to 76.6 inches). All crew weight mean:
72.4kg/170 lbs std deviation 8kg/17.7 lbs Range, 95 percentile 90.6 kg/199 lbs
**The % maximum HR parameter was calculated as the average HR of the individual exercise sessions for that
crewmember, divided by the crewmember’s HRmax (determined pre-flight as part of Peak Aerobic performance
testing), then multiplied by 100%.
Summary of Bedrest Data with No Exercise
The following graphs summarize bedrest data collected over studies conducted between 1 to 120 days. The bedrest data in combination with the flight data presented in the following slide is used to inform exercise requirements and protocols for missions of various durations.
Effect of bedrest on aerobic capacity without exercise
Aerobic Capacity: Relationship between change in aerobic capacity (VO2peak) and bed rest duration in control participants with no exercise. Individual points on the scatterplot indicate aggregated data from individual studies employing 6° head down tilt and horizontal bed rest with no exercise (n=443 subjects; 48 data points). Some studies had measures at multiple times throughout bed rest or employed additional research interventions – each of these are presented as an individual dot at the corresponding timepoint. Some points for individual studies may be overlayed by other studies. The estimated 30-day decrement in knee extension strength is -20.1%.
Effect of bedrest on strength without exercise
Knee extension: Relationship between change in knee extension strength (from pre-post bed rest) and duration of bed rest, in control participants with no exercise. Individual points on the scatterplot indicate aggregated data from individual studies employing 6° head down tilt and horizontal bed rest with no exercise (n=283 subjects; 34 data points). Some studies had measures at multiple times throughout bed rest or employed additional research interventions – each of these are presented as an individual dot at the corresponding timepoint. Some points for individual studies may be overlayed by other studies. The estimated 30-day decrement in knee extension strength is – 17.6%.
Data from: Strock N, Varanoske A, Spector E, Frisco D, Young M, Prejean B, Fincke R, Marshall-Goebel (2023) Exercise Requirements for Gateway and Orion: Human Physiology, Performance, Protection, and Operations (H-3PO) Laboratory Review of Muscle and Aerobic Outcomes in relation to Exercise Prescription Design.
Physiological Outcomes for Resistive Exercise on Long Duration (178 days) Mission on ISS Scott et al., 2019
| Aerobic Exercise | ||||
|---|---|---|---|---|
| CEVIS | T2 | Squat | Bench Press | |
| Sessions, number | 65 (47, 76) | 84 (59, 109) | 117 (78, 148) | |
| All | 192 (156, 215) | 239 (198, 293) | 181 (150, 223) | 122 (98, 153) |
| Peak | 220 (180, 248) | 249 (202, 306) | 229 (194, 270) | 131 (102, 160) |
| Repetitions, number | 230 (177, 313) | 207 (131, 256) | 189 (135, 233) | 44 (38, 81) |
| Load volume | 38,300 (28,770, 61,681) | 45,855 (32,410, 67,364) | 31,659 (22,745, 46,150) | 4928 (4601, 10,311) |
Post-Mission Reconditioning
Crewmembers participate in a reconditioning program post-landing. After 30 days post-landing, crewmembers regain their pre-flight baseline force, work, and power values.
| Endpoint | Change pre-flight to R+1 | Change pre-flight to R+7 | Change pre-flight to R+30 |
|---|---|---|---|
| Leg Press Force | -0.60 (-10.70, 2.27) | -0.23 (-7.57, 4.39) | 0.26 (-3.99, 7.62) |
| Leg Press Power | -2.36 (-16.43, -7.92) | -1.90 (-13.74,-5.81) | -0.77 (-8.82, 0.84) |
| Leg Press Work | -1.30 (-16.23, -3.34) | -0.68 (-11.61,1.43) | -0.04 (-7.36, 6.76) |
| Leg Press 1-RM | -0.60 (-7.23, -0.96) | 0.23 (-2.66, 5.85) | |
| Quadriceps CSA | •2.09 (-8.54, -2.95) | ||
| Hamstrings CSA | +2.01 (-7.95, -2.54) | ||
| Calf CSA | -3.03 (-15.75, -7.82) | ||
| Bench Press Force | -0.08 (-5.55, 4.46) | 0.20 (-3.39, 6.01) | 0.12 (-5.24, 6.88) |
| Bench Press Power | -0.15 (-8.19, 4.78) | 0.36 (-3.98, 12.03) | 0.33 (-5.18, 12.54) |
| Bench Press work | -0.27 (-5.54, 2.46) | 0.16 (-3.11, 4.94) | 0.33 (-2.22, 6.02) |
| Bench Press 1-RM | 0.60 (0.32, 6.22) | 1.50 (5.50, 10.80) |
Primary goals of the fitness-for-duty requirements are to protect astronaut health and performance and to safely and efficiently complete mission tasks such as extravehicular activity (EVA) and vehicle egress after landing back on Earth or on a partial gravity surface. Specifically, we define high risk as a 20% or greater reduction in an endpoint because that threshold is associated with significant performance decrements in a ground-based analog study that evaluated simulated EVA and egress task performance.
Crewmembers experienced deficits (some with gains) in their lower extremities but did not exceed the requirement and were able to be reconditioned within 30 to 45 days post-mission.
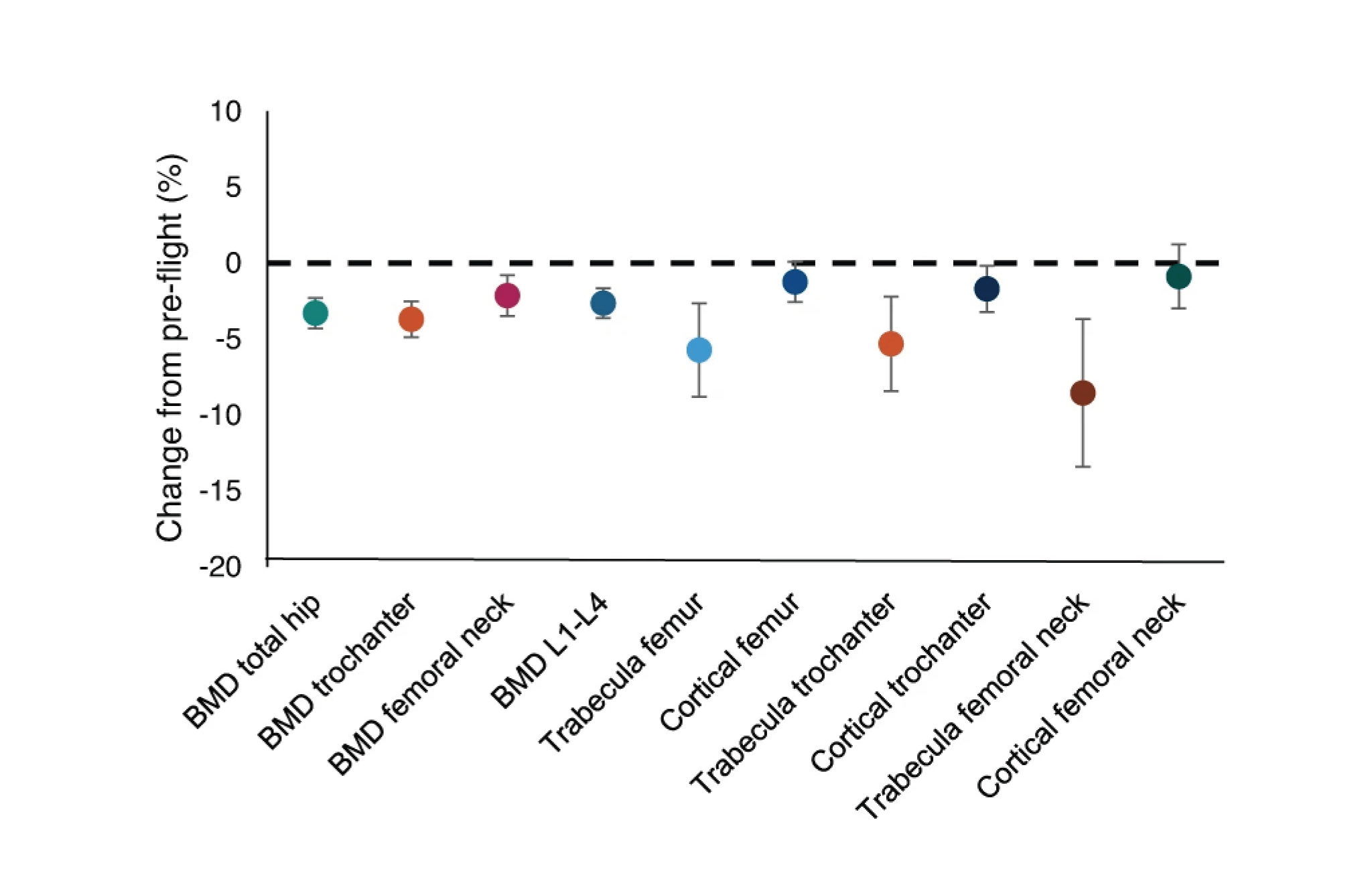
Effects of exercise countermeasures on multisystem function in long duration spaceflight astronauts – Bone Scott et al., 2019
Bone loss is a known risk of spaceflight with estimates ranging from potential loss of 1-1.5 % loss per month. Determining the extent of bone recovery after prolonged spaceflight is important for understanding risks to astronaut long-term skeletal health.
Many bone endpoints were vulnerable to increasing mission duration. Resistance and treadmill volume loads were the key countermeasure factors associated with improved strength, bone, body composition, and cardiorespiratory endpoints.
Changes in mean bone mineral density (BMD) were moderate, ranging from −2.1% ± 0.7% to −3.7% ± 0.6%; however much greater declines were observed for bone content in the trabecular regions (−5.3% ± 1.6% to −8.5% ± 2.5%)
| DXA Total hip | -1.67 (-4.30, -2.28) |
| DXA Trochanter | -1.55 (-4.88, -2.51) |
| DXA Femoral neck | -0.84 (-3.47, -0.80) |
| DXA L1-L4 | -1.51 (-3.61, -1.66) |
| QCT/Trabecular Femoral | -1.52 (-8.79, -2.63) |
| QCT/Trabecular Trochanter | -1.41 (-8.41, -2.21) |
| QCT/Trabecular Femoral neck | -1.41 (-13.41, -3.68) |
| QCT/Cortical Femoral | -0.77 (-2.54, -0.08) |
| QCT/Cortical Trochanter | -0.88 (-3.21, -0.18) |
| QCT/Cortical Femoral neck | -0.36 (-2.98, -1.22) |
Exercise as a countermeasure to bone loss can also help prevent renal stones which are associated with increased calcium loss from bone.
Bisphosphonates as a supplement to exercise to protect bone during long duration spaceflight Study of 7 ISS astronauts (left) who spent mean of 5.5 months on ISS with regular exercise using treadmill, cycle ergometer, and ARED with Bisphosphonate, compared with 18 astronauts using iRED or ARED only. ARED alone provided significant prevention of bone loss compared to iRED, and the combination of ARED and bisphosphonates showed the greatest protection
Findings for BMD loss varied between the HDBR studies evaluated. In some, there were no changes in BMD observed which was attributed to the duration of the studies being too short to capture changes to BMD (Ploutz-Snyder et al., 2018; Wang et al., 2023). Other studies observed minor changes in BMD during HDBR studies, with exercise countermeasures providing some level of protection to these changes (Belavy et al., 2011; Zwart et al., 2008).
Application
Post-flight Training Exercise Prescription (Reconditioning)
Focus on all deficits and return each crewmember back to preflight status as quickly as possible
- Originally, postflight reconditioning was approached very conservatively
- Process has evolved and become much more aggressive which decreased recovery time
- Since the introduction of improved exercise protocols and hardware on ISS, crewmembers are returning in much better physical condition
Post-flight Reconditioning Timeline
- Re-adaption to gravity begin upon re-entry and landing (R+0)
- Reconditioning program lasts 45 days starting R+1
- Reconditioning is scheduled for 2 hours per day/7 days a week, flexible if needed
- Crewmember, Flight Surgeon and ACSR can request additional time past 45 days if needed
Reconditioning is a Dynamic Program
- Uses functional movement patterns
- Uses multiple planes at multiple joints
- Emphasis is tailored to individual deficits
Functional Fitness Assessment
- Data is used to determine conditioning status as compared to preflight levels
- Pre-flight baseline performed at L-60
- Post-flight performed at R+7 and R+30
- Crewmembers are reassessed across the span of their lifetime
Design Considerations
Program managers and vehicle developers must consider the system limitations and capabilities when designing and building exercise equipment and hardware for various spacecrafts. Some of these considerations include:
- The vibration produced when exercise equipment is in use, such as the vibration isolation and
stabilization (VIS) system. - The needed resistive force, mass, and power required for the vehicle to operate the exercise system.
- The required data collection capability to track crewmember performance (i.e., heart rate, VO2max, etc.).
- The mass and volume requirements for the vehicle to accommodate the exercise system and human movement (see example graphics below).
The vehicle must be designed to accommodate all aspects of the exercise system (i.e., mass, volume, vibration) as well as the volume envelope required for human movement while exercising.
Vehicle structural fatigue must be considered when designing the vibration isolation and stabilization system (VIS).
Summary of Exercise Standards and Physiological Outcomes for Different Mission Durations
Flight Data from Greenisen 19991 & Scott 20232
Aerobic Standard
- Maintain 80% pre-flight VO2max
| Exercise Type & Mission Duration | Exercise Session Frequency | Exercise Session Duration | Equipment-Hardware | Hardware Capabilities | Crew Usage | Physiological Decrements |
|---|---|---|---|---|---|---|
| Very Short Duration (<10 day)1 | No exercise | No exercise | Shuttle upright ergometer | Speed: 50-20 RPM Load: 0-350 Watts (25 W increments) | N/A | Average: 11% VO2max |
| Short Duration (up to 14 days)1 | 3 days/week | 20 minutes/session (variable) | Shuttle upright ergometer | Speed: 50-120 RPM Load: 0-350 Watts (25 W increments) | 1. Three sessions per week for ≥ 20 minutes; ≥70% peak heart rate 2. Three sessions per week for <70% 3. Less than three sessions per week; heart rate session time and heart rate | 1. Average: -9.2% VO2max 2. Average: -15.3% VO2max 3. Average: -22.6% VO2max |
| Long Duration (180+ days)2 | 6-7 days/week | 30 minutes/session | ISS 2nd-generation treadmill with vibration isolation and stabilization (T2) ISS Cycle ergometer with vibration isolation and stabilization (CEVIS) | Speed: up to 12.7 mph Load: up to 70% body mass Peak heart rate: 70-90% max HR Speed: up to 100 RPM Load: peak 200 Watts Peak heart rate: 70-90% max HR | T2: 47% of days on orbit for 27 minutes; 70% peak heart rate for 69% of sessions (162 peak bpm); 7-8 mph; average 68% body mass loading CEVIS: 37% of days on orbit for 26 minutes; 70% peak heart rate for 76% of session (163 peak bpm); 78-92 mph; average load of 137 Watts | Average: -7.4% VO2max Range: -2.35 to -11.21 VO2max |
Strength and Bone Standards
- Maintain 80% pre-flight muscle strength
- Maintain 95% of pre-flight hip and spine; 90% femoral neck bone mineral density
| Exercise Type & Mission Duration | Exercise Session Frequency | Exercise Session Duration | Equipment-Hardware | Hardware Capabilities | Crew Usage | Physiological Decrements |
|---|---|---|---|---|---|---|
| Very Short Duration (<10 day)1 | No exercise | No exercise | Shuttle upright ergometer | Speed: 50-20 RPM Load: 0-350 Watts (25 W increments) | N/A | Average: 11% VO2max |
| Short Duration (up to 14 days)1 | 3 days/week | 20 minutes/session (variable) | Shuttle upright ergometer | Speed: 50-120 RPM Load: 0-350 Watts (25 W increments) | 1. 3 sessions/week for ≥ 20 minutes; ≥70% peak heart rate 2. 3 sessions/week for <70% 3. <3 sessions/week; heart rate session time and heart rate | 1. Average: -9.2% VO2max 2. Average: -15.3% VO2max 3. Average: -22.6% VO2max |
| Long Duration (180+ days)2 | 6-7 days/week | 30 minutes/session | ISS 2nd-generation treadmill with vibration isolation and stabilization (T2) ISS Cycle ergometer with vibration isolation and stabilization (CEVIS) | Speed: up to 12.7 mph Load: up to 70% body mass Peak heart rate: 70-90% max HR Speed: up to 100 RPM Load: peak 200 Watts Peak heart rate: 70-90% max HR | T2: 47% of days on orbit for 27 minutes; 70% peak heart rate for 69% of sessions (162 peak bpm); 7-8 mph; average 68% body mass loading CEVIS: 37% of days on orbit for 26 minutes; 70% peak heart rate for 76% of session (163 peak bpm); 78-92 mph; average load of 137 Watts | Average: -7.4% VO2max Range: -2.35 to -11.21 VO2max |
Reference List
- NASA-STD-3001 Volume 1 Revision C. (2023). https://www.nasa.gov/wp-content/uploads/2023/11/nasa-std-3001-vol-1-rev-c-with-signature.pdf
- NASA-STD-3001 Volume 2 Revision D. (2023). https://www.nasa.gov/wp-content/uploads/2023/11/nasa-std-3001-vol-2-rev-d-with-signature.pdf
- Johnston, RS, Dietlein, LF, Berry, CA, Parker, JF, West, V. (1975). Biomedical Results of Apollo. https://ntrs.nasa.gov/search.jsp?R=19760005580
- Downs, ME, Ade, C, Barstow, TJ, Ryder, J, Martin, D, Abercromby, AF…& Feiveson, A. Temporal Changes in Astronauts’ Muscle and Cardiorespiratory Physiology Pre-, In-, and Post-Spaceflight. NASA. https://ntrs.nasa.gov/api/citations/20200001305/downloads/20200001305.pdf
- Hackney, KJ, Scott, JM, Hanson, AM, English, KL, Downs, ME, & Ploutz-Snyder, JL. (2015). The Astronaut-Athlete: Optimizing Human Performance in Space. Journal of Strength and Conditioning Research, 29(12): 3531-45.
- Loehr, JA, Guilliams, ME, Petersen, N, Hirsch, N, Kawashima, S, & Ohshima, H. (2015). Physical Training for Long-Duration Spaceflight. Aerospace Medicine and Human Performance, 86(12): A14-A23.
- Ploutz-Snyder, LL, Downs, M, Goetchius, E, Crowell, B, English, KL, Ploutz-Snyder, R…& Scott, JM. (2018). Exercise Training Mitigates Multisystem Deconditioning during Bed Rest. Med Sci Sports Exerc, 50(9): 1920-1928.
- Abadie, LJ, Cranford, N, Lloyd, CW, Shelhamer, MJ, & Turner, JL. (2021). The Human Body in Space. NASA Human Research Program. https://www.nasa.gov/hrp/bodyinspace
- Dr. Jessica Scott, Memorial Sloan Kettering. From NASA to MSK: Exercise Oncology. https://www.youtube.com/watch?v=F5zqUEJpx-g
- Gulliams, ME, Nieschwiz, B, & Hoellen, D. Pre, In, and Postflight Exercise Conditioning for U.S. International Space Station Astronauts. NASA. https://www.youtube.com/watch?v=WL-ArtIrjLw
- Scott, JM, Feiveson, AH, English, KL, Spector, ER, Sibonga, JD, Lichar Dillon, E…& Everett, ME. (2023). Effects of exercise countermeasures on multisystem function in long duration spaceflight astronauts. npj Microgravity, 9(11).
- Hughson, RL. (2016. Studying Cardiovascular Health in Microgravity. NASA A Lab Aloft (International Space Station Research). https://blogs.nasa.gov/ISS_Science_Blog/2016/05/04/studying-cardiovascular-health-in-microgravity/
- Graham, ZA, Lavin, KM, O’Bryan, SM, Thalacker-Mercer, AE, Buford, TW, Ford, KM, Broderick, TJ, & Bamman, MM. (2021). Mechanisms of exercise as a preventative measure to muscle wasting. Am J Physiol Cell Physiol, 321(1): C40-C57.
- Moore, AD, Downs, ME, Lee, SMC, Feiveson, AH, Knudsen, P, & Ploutz-Snyder, L. (2014). Peak exercise oxygen uptake during and following long-duration spaceflight. Journal of Applied Physiology, 117(3): 199-343.
- Levine, BD, Lane, LD, Watenpaugh, DE, Gaffney, FA, Buckey, JC, & Blomqvist, CG. (1985). Maximal exercise performance after adaptation to microgravity. Journal of Applied Physiology, 81(2): 686-94.
- Lorenz, D, and Morrison, S. (2015). Current concepts in periodization of strength and conditioning for the sports physical therapist. International Journal of Sports Physical Therapy, 10(6): 737-747.
- Tesch, PA, Berg, HE, Bring, D, Evans, HJ, & LeBlanc, AD. (2004). Effects of 17-day spaceflight on knee extensor muscle function and size. European Journal of Applied Physiology, 93, 463-468.
- Apollo Inflight Exerciser. (2016). National Air and Space Museum. https://airandspace.si.edu/stories/editorial/apollo-inflight-exerciser
- Davis, SA, and Davis, BL. (2012). Exercise Equipment Used in Microgravity: Challenges and Opportunities. Current Sports Medicine Reports, 11(3): 142-147.
- Ploutz-Snyder, L, Ryder, J, English, K, Haddad, F, & Baldwin, K. (2015). Evidence Report: Risk of Impaired Performance Due to Reduced Muscle Mass, Strength, and Endurance. NASA Human Research Program: Human Health Countermeasures Element. https://humanresearchroadmap.nasa.gov/Evidence/reports/Muscle.pdf
- Ploutz-Synder, LL, Downs, M, Ryder, J, Hackney, K, Scott, J, Buxton, R, Goetchius, E, & Crowell, B. (2014). Integrated resistance and aerobic exercise protects fitness during bed rest. Medicine and Science in Sports and Exercise, 46(2): 358-368. https://pubmed.ncbi.nlm.nih.gov/24441215/
- Greenisen, MC, Hayes, JC, Siconolfi, SF, & Moore, AD. (1999). Functional Performance Evaluation. From: Extended Duration Orbiter Medical Project Final Report 1989-1995. NASA/SP-1999-534. https://ntrs.nasa.gov/api/citations/20040201524/downloads/20040201524.pdf




































